- A+
雍和比特币 Solana生态项目逐渐添加,假贷、DEX以及衍生品等协议开端丰厚起来。Mercurial也是Solana生态上的项目之一。它供给安稳财物兑换服务,这听上去跟现在以太坊生态中的Curve好像不同不大。不过,作为后来者,它有更多的时机去学习之前DeFi协议的一些长处。这能够从它的规划中看出来,它在用户最为重视的买卖滑点、LP收益、财物利用率等方面都做了必定的迭代优化。Mercurial从安稳币AMM资金池开端切入,为Solana生态供给USDC、USDT、wUSDC、wUSDT等安稳币的兑换服务,跟着对用户需求的掌握和生态的开展,Solana也计划为更多安稳财物供给流动性服务。那么,Mercurial有哪些迭代值得重视?咱们先从其全体结构下手。了解Mercurial的结构咱们能够看看Mercurial的结构图:
(Mercurial的中心部分,来自Mercurial)能够看到中心有几个:Vault(资金库)、Yield(种田或挖矿)、动态费用、DAO办理。Mercurial有动态的做市资金库。它的资金库为安稳财物兑换供给主动做市,LP能够将其安稳财物存入到Mercurial的资金库中,然后为安稳财物兑换供给流动性,一起经过种田或挖矿等取得外部协议的收益,如参加假贷、闪电贷以及收益聚合等。此外,LP的费用收益也不是固定的,而是动态改变的,这也是它异乎寻常的一个规划。详细分化来看,有几个方面是了解Mercurial的要害:Mercurial在下降滑点上的规划咱们知道,现在AMM上进行较大额度的兑换,往往会带来较高的滑点。即便是安稳财物的兑换也会如此。Mercurial跟一般的X*Y=Z的AMM做市方式不同,它的首要不同如下图:
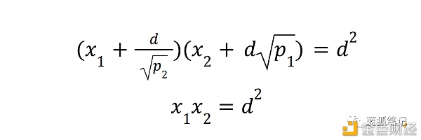
(Mercurial的做市滑点改变,来自Mercurial)红线是传统AMM做市方式下的滑点改变,蓝线是Mercurial的做市方式下的滑点改变。这看上去滑点很低。它是怎样规划的?首要有两个方面,一是在供给流动性代币对财物时,Mercurial并没有要求供给流动性的代币对必定为1:1装备,能够灵敏装备。二是,Mercurial利用了放大化的价格曲线,将流动性会集到所需规划内。假如用户的买卖超出买卖率规划,会取得较少流动性的支撑。能够经过Mercurial提出的两个公式来简略阐明:有两个代币组成代币对供给流动性,假定代币为X1,X2;其兑换率动摇规划为p1,p2,在常数乘积做市方式下,其公式表达为:
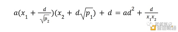
(来自Mercurial)Mercurial在这个基础上,添加了一些放大系数a,那么得出如下的公式:
(来自Mercurial)在这个公式中,系数a假如是无限大,那么,其一切的流动性都会集在价格规划p1-p2;假如系数a无限接近于0,那么这个公式就相当于常数乘积的做市方式。经过上述的规划,Mercurial企图下降用户兑换的滑点。这些的规划思路,咱们在balancer和dodo上也看到过相似的考虑,不过Mercurial现在首要聚集于安稳财物的兑换为主。Mercurial在添加LP收益上的规划在传统的AMM中,LP的费用收益一般来说是固定的。比方Curve一般是0.04%;在Uniswap V2一般默许是0.3%;在Uniswap V3则做了可供选的费用:0.05%、0.3%以及1%。跟这些相对固定的费用规划不同,Mercurial选用动态费用规划。在Mercurial中,一切的代币对资金库同享相同的动态费用机制。选用动态费用机制的动机在于为LP供给更合理的收益,当兑换需求添加,其兑换手续费也会随之添加。尤其是当商场动摇性大时,经过更高的手续费,能够削减LP的无常丢失,并取得更高收益。假如商场动摇小,用户兑换需求较小,手续费也会下降,然后鼓舞用户进行买卖。Mercurial在确认其费用时,会运用长期窗口和短时间窗口的买卖量衡量,并选用EMA(Exponential Moving Average指数移动均线)核算,其费用依据买卖量比率更新。下图表明依据商场动摇性改变的费用更新。
(来自Mercurial)Mercurial在提高财物收益方面的规划除了在下降滑点和为LP代供给动态费用收益方面的规划之外,Mercurial还有一个不同的规划是,它会从资金库的财物中进行动态分配办理,将其装备到外部协议。而其分配算法是经过链上的算法办理。除了财物的装备之外,Mercurial的财物办理还包含利息和收益搜集,退出特定渠道以及清算所得收益等。
(Mercurial资金库的部分资金用于种田耕耘,来自Mercurial)这些收益计划只要得到DAO的同意之后,才干布置到外部的渠道。DAO来抉择每个资金库能够布置到外部协议的份额。外部收益渠道包含闪电贷、假贷渠道、带杠杠的安稳币假贷或其他收益资金库等。渠道会依据收益、危险以及流动性状况进行挑选。经过收益计划,做市商的财物利用率得到提高。MER代币机制Mercurial的代币是MER。MER代币有时机捕获如下价值:
- 兑换的手续费用
MER代币持有人有时机取得Mercurail渠道上买卖手续费。MER详细怎么捕获买卖费用,是回购并毁掉MER,仍是分配MER,则会经过DAO办理来抉择。
- 种田收益佣钱
MER持有人有时机取得“种田”或“挖矿”收益的佣钱。依据DAO办理,能够经过购买并毁掉MER代币的方式,也能够经过质押MER代币取得相应分配的方式。
- 组成财物的抵押品
在生成组成财物或其他安稳财物时,MER会被用作为首要的质押代币。假如组成财物的需求添加,那么会发生对更多MER代币的需求。这一点相似于Synthetix的SNX代币的质押功用。
- 办理价值
在Mercurial的DAO办理中,其首要东西是MER代币。经过它能够参加DAO的办理。而DAO办理能够抉择协议的一些重要参数和抉择。比方确认买卖以及资金库收益的基础费用和佣钱;费用是否用于毁掉或分配;能够将资金库财物布置到哪些协议;资金库用于种田或挖矿的份额;应该推出哪种新组成财物;LP和质押者奖赏机制;为稳妥池注入多少资金,以应对财物脱锚的危险等。这意味着MER自身也有办理价值,假如Mercurial有时机成长起来,那么其办理的重要性会显现出来。此外,Mercurial的流动性供给者存入财物能够取得LP代币。LP代币:1)能够质押用于MER代币的流动性挖矿;2)能够在Mercurial资金库中进行再出资;3)可在其他假贷渠道用于抵押品;4)可用于组成财物的生成。Mercurial的冷启动计划为完结冷启动,Mercurial企图从如下几个方面下手:
- 用户界面上,尽可能契合CEX和EVM(以太坊用户)用户体会的规划,以此削减运用冲突;
- 鼓舞Kyber社区的参加,Kyber有超越10万代币用户,经过Kyber社区,Mercurail企图完结开始用户的堆集。
Mercurial的切入点从上述来看,Mercurial自身更像是一个安稳财物办理协议。它经过其安稳资金库的构建,为买卖者供给安稳财物兑换服务,为流动性供给者供给做市收益、种田或挖矿等财物办理收益。从这个视点,其中心在于对安稳财物的办理。因而,Mercurial能否取得成功,首要取决于其对安稳财物办理能否成功。而安稳财物办理能否成功首要取决于其安稳财物兑换、安稳财物种田/流动性挖矿收益等。从这个视点,Mercurial的第一个切入点是对DEX协议的晋级迭代,它聚集于为安稳财物买卖者供给更低的滑点,由此招引买卖用户。而更大规划的买卖用户,会招引更多的流动性供给者。流动性供给者是Mercurial资金库的注入者,它们期望有更高的收益,这个收益能够来自于流动性供给,也能够来自于种田或挖矿等。此外,除了协议自身机制的规划,Mercurial还有一个切入点是,它不是从以太坊生态切入,也不是从波卡、BSC或HECO等链切入,而是从Solana切入。这意味着,它前期会首要服务于Solana生态用户,其前期能否成功也跟Solana生态全体开展休戚相关。
- 我的微信
- 这是我的微信扫一扫
-
- 我的微信公众号
- 我的微信公众号扫一扫
-






2021年6月2日 下午1:14 沙发
可以用区块链来改造。区块链提供的去中心化的完全分布式DNS服务通过网络中各个节点之间的点对点数据传输服务就能实现域名的查询和解析,