- A+
雍和比特币 永续合约与现货杠杆买卖之间的套利空间。最近商场行情比较重复,但因为全体依旧是牛市环境,基差和资金费率都处于前史较高的水平,这就存在较为可观的套利空间,再加上欧易推出了一致账户功用,对大资金套利的资金运用率,有较为显着的非难。所以,今日Odaily星球日报就来同享一个实用性比较强的套利战略,以及坐山观虎斗运用欧易的一致账户功用,将套利收益非难500%。套利战略——期现套利(永续-杠杆套利)战略套利的中心逻辑便是商场存在价差,因为牛市的原因,现在加密钱银衍生品商场中,永续合约资金费率和现货杠杆的固定利率,存在差异,使得永续合约与现货杠杆买卖之间存在一个套利空间。以实践状况为例,前几天OKEx平台上的币本位保证金永续合约资金费率和借币利率如下所示:
咱们以等级为LV1的用户为例,此刻ETH USDT永续合约鄙人一结算时间的资金费率为0.282%,而ETH的借币利率为0.05%,LV1等级用户的买卖手续费率(Taker)为0.05%,此刻存在的套利空间为0.282%-0.05%-0.05%*2 = 0.132%。当然,关于等级更高的专业用户,其借币利率和买卖费率更低,意味着套利空间更大。
- 套利的必要条件:
即用户能够收取的合约资金费率大于用户付出的现货杠杆利息。根据这一点,咱们能够别离在币币杠杆买卖和永续合约买卖中树立一个仓位价值相同,头寸方向相反的头寸,完成起浮利率与固定利率间的套利。
- 具体操作:
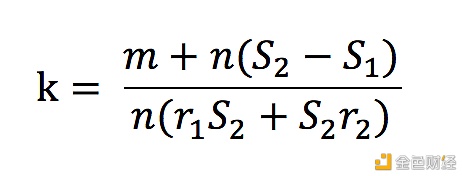
1、当资金费率 gt; 0,且|资金费率| gt; 借币利率+手续费率,合约空头能够向多头收取资金费,即永续合约开空,现货杠杆买入仓位价值适当的现货2、当资金费率 lt; 0,且|资金费率| gt; 借币利率+手续费率,合约多头能够向空头收取资金费,永续合约开多,现货杠杆卖入仓位价值适当的现货资金运用率的重要性在解说了套利的逻辑之后,咱们会发现一个问题,即套利的危险虽然小,可是收益却十分低,这就决议套利的资金体量,和套利资金的资金运用率十分重要。以传统的分账户形式为例,假定你具有0.2个ETH,为了更高地运用资金功率,则需求进行分仓,最佳战略是各将0.1 ETH放置在杠杆买卖账户和永续合约账户中,一起为了避免爆仓,每个账户中仓位的杠杆倍数最高设置为3倍(即保证在大约33.3%的涨跌幅下不会产生爆仓),在ETH/USDT币对下,用0.1 ETH以3倍杠杆开多ETH,仓位价值合计0.3 ETH,在币本位永续合约顶用0.1 ETH以3倍杠杆做空0.3 ETH,仓位价值合计0.3 ETH。依照上述表格中的资金费率(假设该资金费率能够继续一天,依照8小时收一次资金费)单日的套利收益是:0.282%*0.3ETH*3-0.005%*2*0.3ETH-0.05%*0.3ETH=0.002493ETH分仓后的单笔仓位收益是:0.002493ETH/0.1ETH=2.493%全仓单日收益是:2.493%/2=1.2465%整个过程中,咱们发现限制收益的最大问题在于在分账户形式下,杠杆买卖账户和永续合约账户是分隔的,两个账户不能同享保证金,无法完成盈亏相抵,用户不得不下降杠杆倍数,以避免爆仓,使得分账户形式的全体资金运用功率低下,收益不高。套利收益进步500%而欧易新出来的一致账户单币种保证金形式下,因为交割合约与杠杆买卖能够同享保证金,并完成盈亏相抵,因而咱们能够开设更高的杠杆。咱们将杠杆拉满,ETH/USDT杠杆买卖中,最大杠杆倍数为10X;在币本位永续合约中,最大杠杆倍数为75X。为了尽可能高地运用资金功率,咱们能够经过解如下方程组来获取各仓位的初始保证金:x+y=m;10x=75y其间,x为杠杆买卖的初始保证金,y为永续合约的初始保证金,m为账户中该币种财物的数量。在本事例中m为0.2,因而可解得x为0.023ETH,y为0.177。考虑到手续费、滑点等要素,咱们在本事例中酌情处理,将x取值0.02ETH,y取值0.15 ETH。因而,咱们能够用0.15 ETH 以10倍杠杆做多 ETH,仓位价值合计1.5 ETH,在ETHUSD永续合约顶用0.02 ETH以75倍杠杆做空1.5 ETH单日的套利收益是:0.282%*1.5ETH*3-0.005%*2*1.5ETH-0.05%*1.5ETH=0.012465ETH全仓单日收益是:0.012465ETH/0.17=7.33%那么在一致账户单币种保证金形式下,该套利战略的爆仓危险有多高呢?保证金率= (该币种全仓内余额+杠杆买卖收益+永续合约收益)/(杠杆买卖保持保证金+永续合约保持保证金)即
其间,m代表该币种全仓内余额,n代表仓位价值,代表杠杆买卖开仓价格,代表永续合约开仓价格,代表杠杆买卖符号价格,代表合约买卖符号价格,r代表保持保证金率。这儿,咱们设
这儿的S可代表杠杆买卖价格和永续合约价格的改变状况,那么此刻
若,即杠杆买卖和永续合约符号价格的涨跌幅持平,那么
这儿,咱们用均匀杠杆倍数(G)乘以均匀初始保证金(f)替换仓位价值n,用用代表币价的改变率替换S,那么
公式中H是一个固定值, 咱们能够将上式用三维曲面图画出,如下所示,该函数类似于一个卷折的纸箔。在一致账户单币种保证金形式下,当klt;=100%时账户会强制减仓,从上式能够看出,杠杆和价格涨跌幅是爆仓的决议要素。因而,用户在运用该战略时,必须先运用插值法获取相应的价格涨跌幅和杠杆设置规划。例如在本节事例中,价格变化起伏在[-33%,33%]内,运用插值法咱们可知杠杆设置需在20倍以下,而咱们的均匀杠杆倍数为15倍(在一致账户单币种保证金形式下,该战略的各头寸仓位现已用了最高杠杆,因而均匀杠杆最高在15倍左右),处在安全区间。一致账户永续-杠杆套利战略的保证金率曲面图:
回到本套利战略中,咱们为了进步资金功率,使得占用保证金尽可能挨近账户余额,即,此刻
下面咱们将G=15代入上式子,可得:
从上能够看出,只要当财物价格跌落约74.5%时,上述套利战略才会被强制平仓。需求着重的是,这儿咱们只选用了榜首档的仓位和保持保证金率;关于不同的资金规划,对应不同档位的保持保证金率、借币额度等是不同的。实践套利状况如下图所示,从图中能够看出,虽然咱们别离以10X,75X的最高杠杆各开设了1.5 ETH的多空头寸,但在一致账户形式下,并未显着进步咱们的危险,其预估强平价在643.47 USD,这意味着上述套利战略只要在ETH价格暴降74%左右才会面对爆仓。一致账户下币本位永续-杠杆套利可显着下降爆仓危险:
归纳来说,在永续-杠杆套利战略中,用一致账户形式套利较为合算,资金运用率有显着非难,收益较本来进步586%,当然,该优化作用仅仅是针对等级为LV1的普通用户,关于等级更高的专业用户,因为可获得更低手续费和借币利率,一致账户下的优化作用会更佳。
- 我的微信
- 这是我的微信扫一扫
-
- 我的微信公众号
- 我的微信公众号扫一扫
-





2021年6月3日 下午3:44 沙发
最早的比特币白皮书中文翻译版 [3] 中,将 chain of blocks 翻译成了区块链。这是“区块链”这一中文词最早的出现时间。